
Kemahiran menyelesaikan masalah
-
Anda akan
belajar untuk memahami
konsep
matematik
yang ada dalam soalan yang ditanya. Kemudian, anda akan ditunjukkan
bagaimana untuk merangka
jalan kerja yang sesuai berdasarkan konsep
berkenaan.
Penyelesaian
-
Ini adalah jawapan yang
dicadangkan yang perlu anda
tulis dalam kertas jawapan peperiksaan.
Bilangan set soalan peperiksaan percubaan akan ditambah dari semasa ke
semasa.

Setelah
anda menguasai
kemahiran menyelesaikan masalah
selesaikan
pula semua soalan yang terdapat dalam
DIY.
NOTA PEMERKASAAN TOPIK TINGKATAN 4
Fungsi
Persamaan & Fungsi Kuadratik
Sistem Persamaan
Indeks,Surd & Logarithma
Janjang
Hukum Linear
Geometri Koordinat
Vektor
Penyelesaian Segitiga
Nombor Indeks
NOTA PEMERKASAAN TOPIK TINGKATAN 5
Sukatan Membulat
Pembezaan
Pengamiran
Trigonometri
Pilihatur & Gabungan
Taburan Kebarangkalian
Kinematik Gerakan Linear
Pengaturcaraan Linear
SOALAN PEMERKASAAN PEPERIKSAAN-KERTAS 1
Petunjuk : Q = Soalan, S = Set.
Contoh: Q1-S1 = Soalan nombor 1, dalam set nombor 1
| |
SET 1 |
SET 2 |
SET 3 |
SET 4 |
SET 5 |
| Q1-S1 |
Persamaan & Fungsi kuadratik |
Q1-S2 |
Q1-S3 |
*Q1-S4 |
Q1-S5 |
| Q2-S1 |
Fungsi |
Q2-S2 |
Q2-S3 |
Q2-S4 |
Q2-S5 |
| Q3-S1 |
Huum Linear |
Q3-S2 |
Q3-S3 |
Q3-S4 |
Q3-S5 |
|
Q4-S1 |
Trigonometri
|
Q4-S2 |
Q4-S3 |
Q4-S4 |
Q4-S5 |
|
Q5-S1 |
Pilihatur & Gabungan |
Q5-S2 |
Q5-S3 |
Q5-S4 |
Q5-S5 |
|
Q6-S1 |
Fungsi
Kuadratik |
Q6-S2 |
Q6-S3 |
Q6-S4 |
Q6-S5 |
|
Q7-S1 |
Pengamiran |
Q7-S2 |
Q7-S3 |
Q7-S4 |
Q7-S5 |
| Q8-S1 |
Geometri Koordinat |
Q8-S2 |
Q8-S3 |
Q8-S4 |
Q8-S5 |
| Q9-S1 |
Indeks
, Surd & Logarithma |
Q9-S2 |
Q9-S3 |
Q9-S4 |
Q9-S5 |
|
Q10-S1 |
Sukatan Membulat |
Q10-S2 |
Q10-S3 |
Q1O-S4 |
Q10-S5 |
| Q11-S1 |
Vektor |
Q11-S2 |
Q11-S3 |
Q11-S4 |
Q11-S5 |
|
Q12-S1 |
Kebarangkalian (Ulangkaji) |
Q12-S2 |
Q12-S3 |
Q12-S4 |
Q12-S5 |
| Q13-S1 |
Janjang |
Q13-S2 |
Q13-S3 |
Q13-S4 |
Q13-S5 |
|
Q14-S1 |
Pembezaan |
Q14-S2 |
Q14-S3 |
Q14-S4 |
Q14-S5 |
|
Q15-S1 |
Penggunaan Pembezaan |
Q15-S2 |
Q15-S3 |
Q15-S4 |
Q15-S5
|
SOALAN PEMERKASAAN
PEPERIKSAAN-KERTAS 1
| |
SET 6 |
SET 7 |
SET 8 |
SET 9 |
SET 10 |
| Q1-S1 |
Fungsi & Persamaan Kuadratik |
Q1-S7 |
Q1-S8 |
*Q1-S9 |
Q1-S10 |
| Q2-S1 |
Function |
Q2-S7 |
Q2-S8 |
Q2-S9 |
Q2-S10 |
| Q3-S1 |
Hukum Linear |
Q3-S7 |
Q3-S8 |
Q3-S9 |
Q3-S10 |
|
Q4-S1 |
Trigonometri
Pembuktian Identiti |
Q4-S7 |
Q4-S8 |
Q4-S9 |
Q4-S10 |
|
Q5-S1 |
Pilihatur
& Gabungan |
Q5-S7 |
Q5-S8 |
Q5-S9 |
Q5-S10 |
|
Q6-S1 |
Fungsi
Kuadratik |
Q6-S7 |
Q6-S8 |
Q6-S9 |
Q6-S10 |
|
Q7-S1 |
Pengamiran |
Q7-S7 |
Q7-S8 |
Q7-S9 |
Q7-S10 |
| Q8-S1 |
Geometri Koordinat |
Q8-S7 |
Q8-S8 |
Q8-S9 |
Q8-S10 |
| Q9-S1 |
Indeks
, Surd & Logarithma |
Q9-S7 |
Q9-S8 |
Q9-S9 |
Q9-S10 |
|
Q10-S1 |
Sukatan Membulat |
Q10-S7 |
Q10-S8 |
Q10-S9 |
Q10-S10 |
|
Q11-S1 |
Vektor |
Q11-S7 |
Q11-S8 |
Q11-S9 |
Q11-S10 |
|
Q12-S1 |
Kebarangkalian (Ulangkaji) |
Q12-S7 |
Q12-S8 |
Q12-S9 |
Q12-S10 |
| Q13-S1 |
Janjang |
Q13-S7 |
Q13-S8 |
Q13-S9 |
Q13-S10 |
|
Q14-S1 |
Pembezaan |
Q14-S7 |
Q14-S8 |
Q14-S9 |
Q14-S10
Nilai AnggaraN |
|
Q15-S1 |
Penggunaan
Pembezaan |
Q15-S7 |
Q15-S8 |
Q15-S9 |
Q15-S10 |
SOALAN PEMERKASAAN PEPERIKSAAN-KERTAS 2
| |
SET1
|
SET2 |
SET3 |
SET4 |
SET5 |
|
Q1-S1 |
Geometri Koordinat |
Q1-S2 |
Q1-S3 |
Q1-S4 |
Q1-SS |
| Q2-S1 |
Vektor |
Q2-S2 |
Q2-S3 |
Q2-S4 |
Q2-S5 |
| Q3-S2 |
Indices,Surds
& Logarithma |
Q3-S2 |
Q3-S3 |
Q3-S4 |
Q3-S5 |
Q4-S1
|
Fungsi & Persamaan Kuadratik |
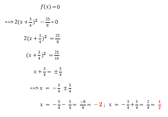
Q4-S2
Kaedah penyesuaian kuasa dua |
Q4-S3
|
Q4-S4
Kaedah penyesuaian kuasa dua |
Q4-S5
|
| Q5-S1 |
Janjang
(Permasalahan) |
Q5-S2 |
Q5-S3 |
Q4-S4 |
Q5-S5 |
|
Q6-S1 |
Trigonometri
|